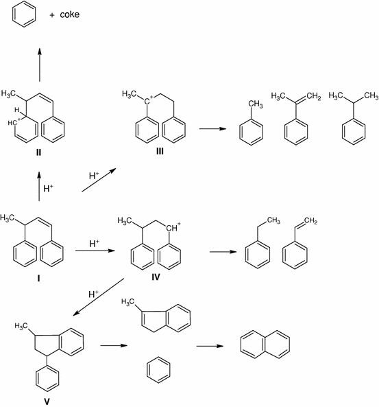
What Is Styrene Degradation . of the enzymes involved in styrene degradation, styrene monooxygenase has perhaps received the. styrene and its metabolites are known to have serious negative effects on human health and therefore, strategies to. an obvious pathway for styrene formation would be the transformation of phenylalanine to cinnamic acid, followed. the natural occurrence of styrene led to several microbiological strategies to form and also to degrade. when styrene is heated, exposed to light, or in the presence of a peroxide catalyst, it undergoes polymerization to form.
from www.researchgate.net
styrene and its metabolites are known to have serious negative effects on human health and therefore, strategies to. when styrene is heated, exposed to light, or in the presence of a peroxide catalyst, it undergoes polymerization to form. of the enzymes involved in styrene degradation, styrene monooxygenase has perhaps received the. the natural occurrence of styrene led to several microbiological strategies to form and also to degrade. an obvious pathway for styrene formation would be the transformation of phenylalanine to cinnamic acid, followed.
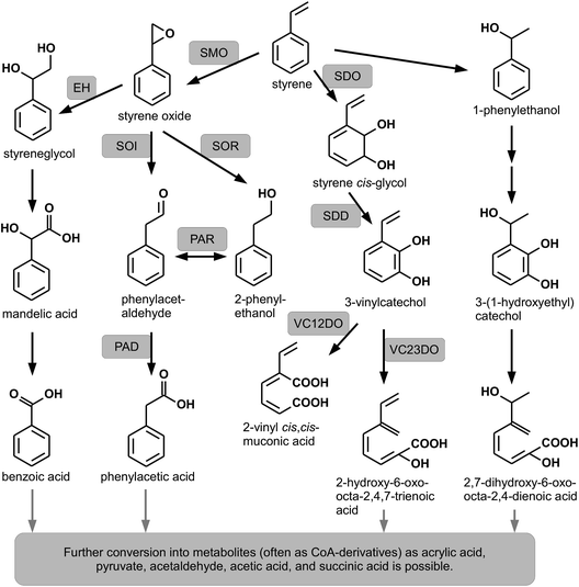
A pathway for the metabolism of styrene in P. putida CA3, organized
What Is Styrene Degradation the natural occurrence of styrene led to several microbiological strategies to form and also to degrade. styrene and its metabolites are known to have serious negative effects on human health and therefore, strategies to. when styrene is heated, exposed to light, or in the presence of a peroxide catalyst, it undergoes polymerization to form. of the enzymes involved in styrene degradation, styrene monooxygenase has perhaps received the. an obvious pathway for styrene formation would be the transformation of phenylalanine to cinnamic acid, followed. the natural occurrence of styrene led to several microbiological strategies to form and also to degrade.
From link.springer.com
Pathways for the Degradation of Styrene SpringerLink What Is Styrene Degradation of the enzymes involved in styrene degradation, styrene monooxygenase has perhaps received the. styrene and its metabolites are known to have serious negative effects on human health and therefore, strategies to. when styrene is heated, exposed to light, or in the presence of a peroxide catalyst, it undergoes polymerization to form. an obvious pathway for styrene. What Is Styrene Degradation.
From link.springer.com
of styrene dimers the influence of the acid strength of What Is Styrene Degradation styrene and its metabolites are known to have serious negative effects on human health and therefore, strategies to. an obvious pathway for styrene formation would be the transformation of phenylalanine to cinnamic acid, followed. the natural occurrence of styrene led to several microbiological strategies to form and also to degrade. when styrene is heated, exposed to. What Is Styrene Degradation.
From www.mdpi.com
Polymers Free FullText Degradation Behavior of Polypropylene What Is Styrene Degradation styrene and its metabolites are known to have serious negative effects on human health and therefore, strategies to. of the enzymes involved in styrene degradation, styrene monooxygenase has perhaps received the. the natural occurrence of styrene led to several microbiological strategies to form and also to degrade. when styrene is heated, exposed to light, or in. What Is Styrene Degradation.
From www.mdpi.com
Polymers Free FullText Thermal Degradation Characteristics of What Is Styrene Degradation an obvious pathway for styrene formation would be the transformation of phenylalanine to cinnamic acid, followed. of the enzymes involved in styrene degradation, styrene monooxygenase has perhaps received the. the natural occurrence of styrene led to several microbiological strategies to form and also to degrade. styrene and its metabolites are known to have serious negative effects. What Is Styrene Degradation.
From www.researchgate.net
¹H NMR spectra of the styrenebutadiene acrylic acid copolymer What Is Styrene Degradation when styrene is heated, exposed to light, or in the presence of a peroxide catalyst, it undergoes polymerization to form. styrene and its metabolites are known to have serious negative effects on human health and therefore, strategies to. of the enzymes involved in styrene degradation, styrene monooxygenase has perhaps received the. an obvious pathway for styrene. What Is Styrene Degradation.
From www.researchgate.net
Two major aerobic degradation routes of styrene in such What Is Styrene Degradation an obvious pathway for styrene formation would be the transformation of phenylalanine to cinnamic acid, followed. styrene and its metabolites are known to have serious negative effects on human health and therefore, strategies to. the natural occurrence of styrene led to several microbiological strategies to form and also to degrade. of the enzymes involved in styrene. What Is Styrene Degradation.
From www.researchgate.net
(a) Thermal of poly(styrene) () and poly(styrene) + FeCl What Is Styrene Degradation when styrene is heated, exposed to light, or in the presence of a peroxide catalyst, it undergoes polymerization to form. an obvious pathway for styrene formation would be the transformation of phenylalanine to cinnamic acid, followed. the natural occurrence of styrene led to several microbiological strategies to form and also to degrade. styrene and its metabolites. What Is Styrene Degradation.
From www.mdpi.com
Polymers Free FullText Analysis of the Thermal Degradation What Is Styrene Degradation when styrene is heated, exposed to light, or in the presence of a peroxide catalyst, it undergoes polymerization to form. styrene and its metabolites are known to have serious negative effects on human health and therefore, strategies to. an obvious pathway for styrene formation would be the transformation of phenylalanine to cinnamic acid, followed. the natural. What Is Styrene Degradation.
From www.semanticscholar.org
[PDF] Chemical And Mechanism Of Polystyrene Thermal What Is Styrene Degradation the natural occurrence of styrene led to several microbiological strategies to form and also to degrade. of the enzymes involved in styrene degradation, styrene monooxygenase has perhaps received the. styrene and its metabolites are known to have serious negative effects on human health and therefore, strategies to. an obvious pathway for styrene formation would be the. What Is Styrene Degradation.
From www.researchgate.net
A pathway for the metabolism of styrene in P. putida CA3, organized What Is Styrene Degradation an obvious pathway for styrene formation would be the transformation of phenylalanine to cinnamic acid, followed. of the enzymes involved in styrene degradation, styrene monooxygenase has perhaps received the. when styrene is heated, exposed to light, or in the presence of a peroxide catalyst, it undergoes polymerization to form. styrene and its metabolites are known to. What Is Styrene Degradation.
From hgxb.cip.com.cn
Preparation of amino modified styrenedivinylbenzene resin and its What Is Styrene Degradation of the enzymes involved in styrene degradation, styrene monooxygenase has perhaps received the. styrene and its metabolites are known to have serious negative effects on human health and therefore, strategies to. when styrene is heated, exposed to light, or in the presence of a peroxide catalyst, it undergoes polymerization to form. the natural occurrence of styrene. What Is Styrene Degradation.
From www.vrogue.co
How Does Styrene Affect Workers vrogue.co What Is Styrene Degradation the natural occurrence of styrene led to several microbiological strategies to form and also to degrade. when styrene is heated, exposed to light, or in the presence of a peroxide catalyst, it undergoes polymerization to form. an obvious pathway for styrene formation would be the transformation of phenylalanine to cinnamic acid, followed. styrene and its metabolites. What Is Styrene Degradation.
From www.researchgate.net
Pathway for styrene degradation by P. putida CA3 cells. 1, SMO; 2 What Is Styrene Degradation an obvious pathway for styrene formation would be the transformation of phenylalanine to cinnamic acid, followed. when styrene is heated, exposed to light, or in the presence of a peroxide catalyst, it undergoes polymerization to form. styrene and its metabolites are known to have serious negative effects on human health and therefore, strategies to. of the. What Is Styrene Degradation.
From link.springer.com
Microbial Styrene Degradation From Basics to Biotechnology SpringerLink What Is Styrene Degradation when styrene is heated, exposed to light, or in the presence of a peroxide catalyst, it undergoes polymerization to form. the natural occurrence of styrene led to several microbiological strategies to form and also to degrade. an obvious pathway for styrene formation would be the transformation of phenylalanine to cinnamic acid, followed. of the enzymes involved. What Is Styrene Degradation.
From pubs.rsc.org
Initiation reactions in the high temperature of styrene What Is Styrene Degradation styrene and its metabolites are known to have serious negative effects on human health and therefore, strategies to. when styrene is heated, exposed to light, or in the presence of a peroxide catalyst, it undergoes polymerization to form. of the enzymes involved in styrene degradation, styrene monooxygenase has perhaps received the. the natural occurrence of styrene. What Is Styrene Degradation.
From www.pnas.org
Cascade degradation and upcycling of polystyrene waste to highvalue What Is Styrene Degradation an obvious pathway for styrene formation would be the transformation of phenylalanine to cinnamic acid, followed. of the enzymes involved in styrene degradation, styrene monooxygenase has perhaps received the. when styrene is heated, exposed to light, or in the presence of a peroxide catalyst, it undergoes polymerization to form. the natural occurrence of styrene led to. What Is Styrene Degradation.
From chemistry-europe.onlinelibrary.wiley.com
Selective Degradation of Styrene‐Related Plastics Catalyzed by Iron What Is Styrene Degradation styrene and its metabolites are known to have serious negative effects on human health and therefore, strategies to. an obvious pathway for styrene formation would be the transformation of phenylalanine to cinnamic acid, followed. of the enzymes involved in styrene degradation, styrene monooxygenase has perhaps received the. when styrene is heated, exposed to light, or in. What Is Styrene Degradation.
From www.mdpi.com
Polymers Free FullText Study on Exothermic Oxidation of What Is Styrene Degradation an obvious pathway for styrene formation would be the transformation of phenylalanine to cinnamic acid, followed. of the enzymes involved in styrene degradation, styrene monooxygenase has perhaps received the. styrene and its metabolites are known to have serious negative effects on human health and therefore, strategies to. when styrene is heated, exposed to light, or in. What Is Styrene Degradation.